语义分割综述
存货, 介绍了语义分割模型的发展历史以及基本理念
FCN
Fully Convolutional Networks for Semantic Segmentation (2014)
- 全卷积架构, 不带全连接层
- 解决pooling过程中增大感受野的同时丢失位置信息的问题, 这对segment影响很大
- Encoder-Decoder结构, 用可学习的transpose-conv来上采样, 同时还伴随前后跳跃连接(U-NET采用concat, FPN采用加法)
- 空洞卷积, 见下节
SegNet
SegNet: A Deep Convolutional Encoder-Decoder Architecture for Image Segmentation (2015/11/2)
- 缓存了max pooling的位置(memorized max-pooling), 这样先upsampling之后获得稀疏特征图, 再卷积获得dense的特征图
- 最后一层输出$class_number$层, 再使用带权重的pixel level的softmax, 即class balancing, 按照类的中位数的频率来给权重(median frequency balancing), 稀少的类权重更高
The final decoder output is fed to a multi-class soft-max classifier to produce class probabilities for each pixel independently.
空洞卷积(dilated convolution)
Multi-Scale Context Aggregation by Dilated Convolutions (2015/11/23)
空洞卷积(dilated convolution)替代pooling: 既能够增大感受野, 也避免了down-sampling保留了位置信息
DeepLab v1/v2
(2014v1, 2016v2)

- 空洞池化(atrous spatial pyramid pooling, ASPP), 多尺度的空洞卷积并行处理, 这个和inception v1的理念差不多哇
- 全连接的CRF进行后处理
PSPNet

Pyramid Scene Parsing Network (2016/12/4) 还是多尺寸特征融合. deeplab中用不同尺寸的空洞卷积并行处理, 这里就用不同尺寸的pooling, 再上采样到相同尺寸后concat…之后的卷积层就能获得不同尺度的信息. 换汤不换药啊
DeepLab v3
加点BN, 又是篇文章
Hybrid Dilated Convolution, HDC
Understanding Convolution for Semantic Segmentation
(2017/2)
用更加奇形怪状的空洞卷积兼顾大物体和小物体的检查, 避免gridding effect
Mask RCNN
Mask RCNN[ICCV17 Best Paper]
- 用了Faster-RCNN作为前端
- 用了encoder-decoder结构做mask head
- 解耦了classification和segmentation, classification只需要RCNN去做就行了, 而FCN等模型是需要同时解决两个问题的. 带来提升的原因是做segmentation的时候解决了class competition
详见blog中关于mask-rcnn的文章…
Learning to Segment Every Thing
Learning to Segment Every Thing[CVPR18]
- 解决了一下有box却没有对应mask的情况下如何处理分类的问题: 学习一个模型, 把检测网络的权重转换成mask网络的权重.
- 因为detection和segmentation使用的都是同一份特征, 很自然的, 这篇文章说明两者是可以互相迁移的. 下文的PANet也考虑到了这一点, 不过是用额外的一条high-level的向量来指导mask的预测
PANet (SOTA)
Path Aggregation Network for Instance Segmentation[CVPR 18]
- 在FPN的基础上又加了一个Bottom-Up的金字塔. 用conv3x3进行S=2的downsample之后与平行的P层相加, 再过一个3x3conv(这个FPN里没有, 倒是平行的C层需要先过conv1x1统一channel数). 作者认为:
high response to edges or instance parts is a strong indicator to accurately localize instances

- 其中Detection分支是拉平成fc之后经过两个fc层

- Mask分支是将四个特征图concat到一起. 然后利用conv3的输出辅助一个fc向量, 希望使用high level的特征指导mask. 因为fc层的好处就是可以学到交叉特征.
一些个人小结
- 可以发现, 在segmentation中大多数时候我们在和pooling作斗争. 那么能不能不用pooling? pooling能不能用conv代替中有讨论过可行性
- Segmentation里面有很多deconv, deconv和upsample的区别中提到了其实deconv可以做成bilnear的upsample.
- 另外, 如何理解深度学习中的deconv中的高赞答案从计算角度给出了deconv的数学解释, 顺便还可以复习一下conv的实现
- 如果segmentation能一步到位, 那就不需要detection了! 有没有类似的工作? 一文介绍3篇无需Proposal的实例分割论文带来很多干货. 我认为这是未来趋势
下面介绍一些非主流方法
GAN
Semantic Segmentation using Adversarial Networks(2016/11)
FAIR的大作. 其中Soumith Chintala哥哥是pytorch的主力, 他的名字我老是读成吃蛋挞
大体思路是用一个segmentation网络生成mask, 然后再用判别网络区分真实mask和生成mask. 损失函数是生成网络的逐像素softmax损失和判别网络的二分类logloss
Semi Supervised Semantic Segmentation Using Generative Adversarial Network(ICCV17)
将分割网络(FCN)变成了判别器, 判别的是逐像素是不是instance.
假设分割类别数为K,那么判别器则有K+1个类别的输出。多出来的分类类别为”该像素为假像素”。训练时,使用标记的分割图像训练前K个通道,使用(真实图片,生成图片)图片组按照adversarial loss的定义训练”该像素为假像素”的通道。真是图片既有分割数据库中的图片,也有大量未标注的图片。或者也可以理解为判断“真/假”的分类器,其“真”的这一类扩展成了K类具体的语义类别。
Pixel Embedding
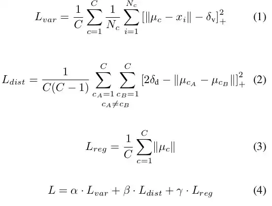
Semantic Instance Segmentation with a Discriminative Loss Function(CVPR2017)
- 假设全卷积网络最终输出为$(C, H, W)$传统方法将输出的每个像素位置变成一个$C$维向量, 维度等于类别数. 最终使用softmax损失会将每个向量embedding到一个one-hot向量上去
- 这里使用的Pixel Embedding是指将输出的向量在embedding空间中计算损失函数(如上图)
- 这么做并不需要